Transfer function
전달 함수(Transfer function) H(s)
미분 방정식으로 표현되는 시스템에 대해 입력과 출력의 관계를 나타내줌
- 이 때, 초기 조건은 모두 0!!!

H(s) = Y(s) / R(s) 로 볼 수 있다.
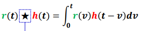
그렇다면 y(t) = [r(t), h(t)]의 관계는?? 바로 이것을 나타내기 위한 것이 Convolution이다.
Convolution


자 Convolution을 배웠다. 그런데 라플라스 변환을 하려니 적분 속 적분이 되어버리네? 이를 해결하기 위해 이중적분!



이를 통해 Convolution을 증명이 된다.
Differentiation and integration


'2-1 > 공업수학' 카테고리의 다른 글
| Matrix(행렬) (2) | 2025.05.24 |
|---|---|
| Unit step function, Dirac delta function (0) | 2025.05.24 |
| Laplace transform (0) | 2025.05.11 |
| 중간 정리 (0) | 2025.05.11 |