Interconnections of Operations
1. Series / Cascade
Input ------> H1 -----> H2 -----> Output
2. Paralled
Input _____> H1 ------> Output
|__> H2 __↑
3. feedback
Input _____> H1 ------> Output
↑ __ H2 <__|
Stability - BIBO(Bounded Input, Bounded Output) 발산하지 않는 값이 들어가게 된다면 출력도 발산하지 않는다. (↔Unstable)
Memory - x[n-1](past), x[n+1](future) 출력값이 과거 혹 미래의 값에 의존한다. (↔Memoryless)
Causality - 출력값이 과거 혹 현재 값에 의존한다. (↔Noncasual)
Invertability - 출력값을 이용하여 나온 입력값이 하나인 경우(제곱은 값이 2개가 나옴) (↔Noninvertible)
Time Invariance - 단순 입력값에 시간변화와 출력값의 시간변화로 인한 입력값이 변화가 같음 (↔Time variance)
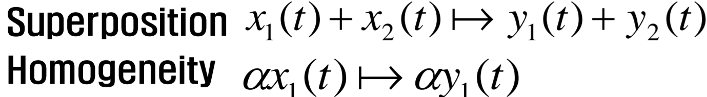
Linearity

위 두 조건을 모두 만족한다. (↔Nonlinear)
'2-2 > 신호및시스템' 카테고리의 다른 글
| Some kind of signals (0) | 2025.10.12 |
|---|---|
| Signals and Systems (0) | 2025.10.10 |