signal
- something that carries information
- a function of one or more variables
ex) speech signal(1D), image signal(2D) => multi Demenstion
System
- an entity that manipulates one or more signals
- Input signal / x(t) => System / h(t) => Output signal / y(t) : 중점은 x가 y로 바뀌는 과정
Communication System : transmission, reconstruct
sampling : CTS(continuous time signal) -> DTS(Discrete time signal)
Quantization : DTS -> Digital signals
coding
Control System
Remote Sensing
Biomedical Signal Processing
ASP(Analog signal processing)
- CTS(continuous time signals)
- R, L, C, Diodes
. defined for all 't'
DSP(Digital signal processing)
- DTS(Discrete time signals)
- Flexivility
- Repeatability
- low cost
. defined for integers
. occurs natually
. sampling of CTS
MSP(ASP+DSP)
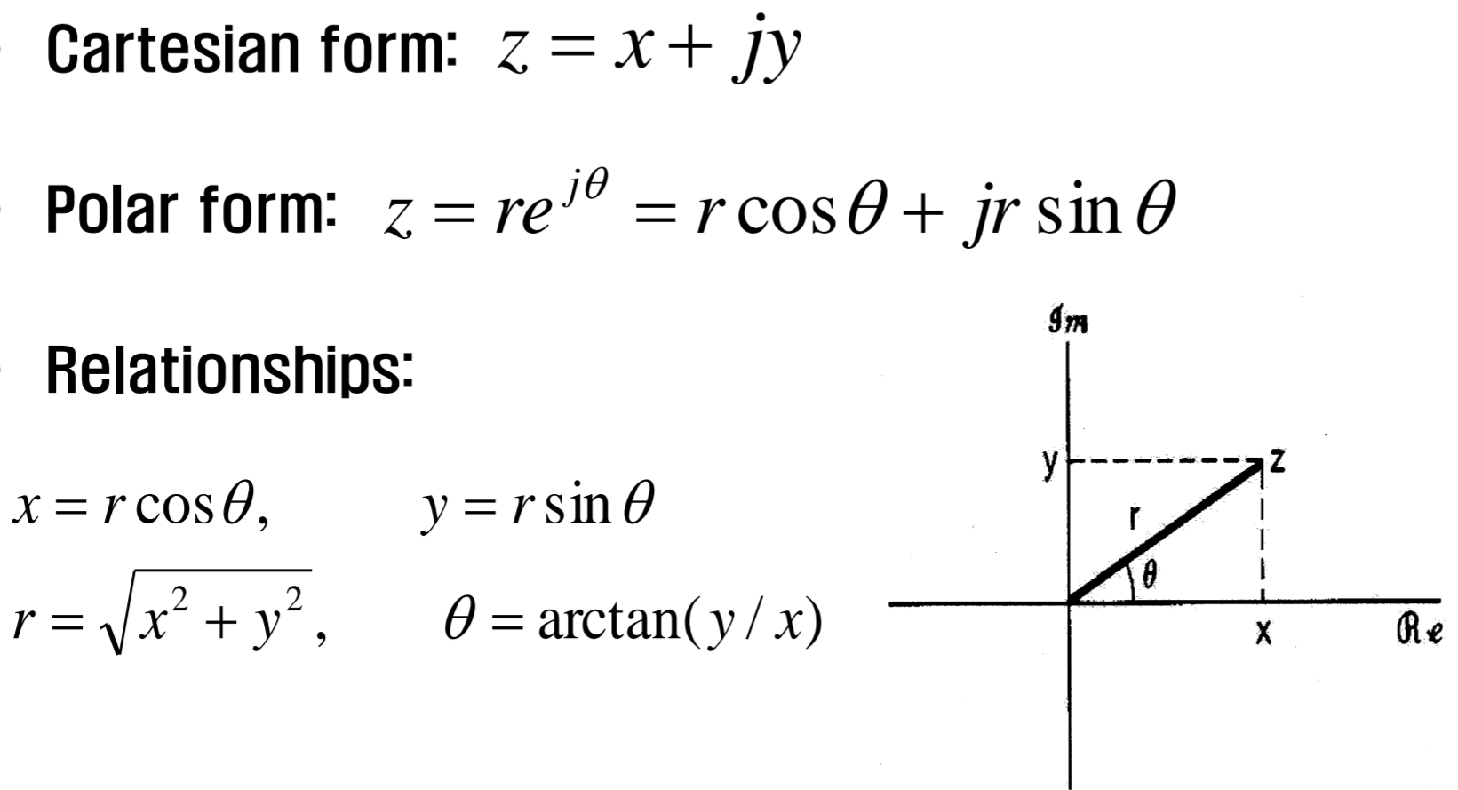
complex식 변환 알고있어야함

CTS
DTS
Classification of signals
Even signal (우함수) x(-t)=x(t)
Odd signal (기함수) x(-t)=-x(t)
fundamental period : the smallest values of periods T=T0
f = 1/T
w(오메가)
옴 = 2파이/N
Deterministic signals
- Uncertainty
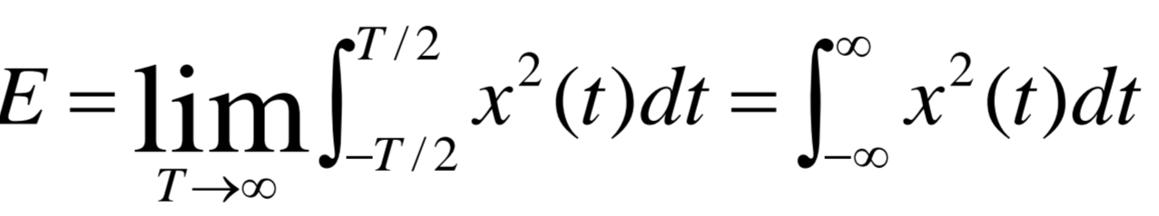
total energy / average power




* a signal cannot be energy signal & power signal simultaneously
* an energy signal has 'zero' power
* a power signal has 'infinite' energy
Time scaling
y[n]=x[kn]일 때 k역수로 n 나누기!! (DTS 일때 - odd -> last)
Reflection
좌우 반전
Time shifting
통째로 이동
'2-2 > 신호및시스템' 카테고리의 다른 글
| Properties of Systems (0) | 2025.10.12 |
|---|---|
| Some kind of signals (0) | 2025.10.12 |