1. exp signal
2. sinusoidal signal
- CT sinusoidal Signal은 항상 주기성을 가진다.
- DT sinusoidal Signal은 항상 주기성을 가지진 않는다. (sin(1), sin(2)....값이 다름)
complex exponential signal이라면 오일러 공식!
3. exp damped sinusoidal signal
x(t) = Ae^(-at)sin(wt+@) => (a>0)일때 수렴(envelop)
4. unit step signal
u(t) = 1 (t>0), 0 (t<0)
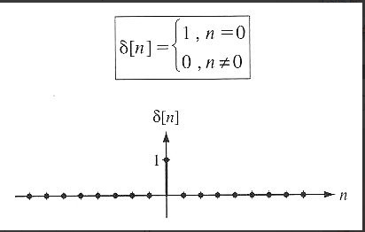
5. Iimpuluse signal / function

6. Ramp function
r(t) = t (t>=0), 0 (t<0)
'2-2 > 신호및시스템' 카테고리의 다른 글
| Properties of Systems (0) | 2025.10.12 |
|---|---|
| Signals and Systems (0) | 2025.10.10 |