Energy band 형성과정
![]() |
![]() |
원자 하나 ==> 원자 여러개가 되면서 띠의 형태를 띄우게 됌.
T = 0K는 어떤 물체든 전류가 흐르지 않음. (현실에서 불가능)
부도체 => 반도체 => 도체 (band 거리줄어들며 전자의 이동이 용이해지며 전류가 잘 흐름)
슈레딩거의 양자역학


Probability of finding the particale (free space)

- 프사이를 제곱하였을 때 이는 전자가 적분한 거리에 있을 확율.

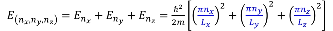
free space


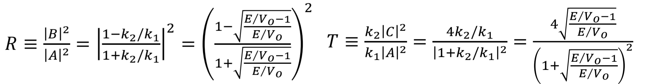
potential step



E < Vo 일때 R=1, T=0으로 반사만 일어난다.
potential barrier





'2-2 > 물리전자' 카테고리의 다른 글
| CT (Carrier Transform) (0) | 2025.11.24 |
|---|---|
| CC (Carrier Concentration) (0) | 2025.10.11 |
| CS (Crystal Structure) (0) | 2025.10.10 |

